|

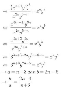
Diketahui (xn-1yn)3 / x2ny6+n senilai dengan xayb. Tentukan nilai b/a.

Jawaban Uji Kompetensi 1 Halaman 58 MTK Kelas 9 (Perpangkatan dan Bentuk Akar)

Kali ini kita akan membahas Uji Kompetensi Bab 1 Halaman 58-62. A. Soal Pilihan Ganda (PG) dan B. Soal Uraian Bab 1 (Perpangkatan dan Bentuk Akar), Matematika (MTK), Kelas 9 / IX SMP/MTS. Semester 1 K13
  • Jawaban Uji Kompetensi 1 Matematika Kelas 9 Halaman 58 (Perpangkatan dan Bentuk Akar)
  • Jawaban Uji Kompetensi 1 Matematika Halaman 58 Kelas 9 (Perpangkatan dan Bentuk Akar)
  • Jawaban Esai Uji Kompetensi 1 Halaman 58, 62 MTK Kelas 9 (Perpangkatan dan Bentuk Akar)
Buku paket SMP halaman 58 (Uji Kompetensi 1) adalah materi tentang Perpangkatan dan Bentuk Akar kelas 9 kurikulum 2013. Terdiri dari 10 soal.
Diketahui (xn-1yn)3 / x2ny6+n senilai dengan xayb. Tentukan nilai b/a.

Berikut ini adalah pembahasan dan Kunci Jawaban Matematika Kelas 9 Semester 1 Halaman 58 – 62. Bab 1 Perpangkatan dan Bentuk Akar Uji Kompetensi 1 Hal 58 – 62 Nomor 1 – 10 Essai. Kunci jawaban ini dibuat untuk membantu mengerjakan soal matematika bagi kelas 9 di semester 1 halaman 58 – 62. Semoga dengan adanya pembahasan serta kunci jawaban ini adik-adik kelas 9 dapat menyelesaikan tugas Perpangkatan dan Bentuk Akar Kelas 9 Halaman 58 – 62 yang diberikan oleh bapak ibu/guru. Kunci Jawaban MTK Kelas 9 Semester 1.
Kunci Jawaban Matematika Kelas 7 Halaman 58 Uji Kompetensi Bab 1 semester 1 k13

Perpangkatan dan Bentuk Akar (Uji Kompetensi Bab 1!)

3. Diketahui (xn-1yn)3 / x2ny6+n senilai dengan xayb. Tentukan nilai b/a.
Jawaban :
Jawaban Uji Kompetensi 1 Halaman 58 MTK Kelas 9 (Perpangkatan dan Bentuk Akar)
Pembahasan Uji Kompetensi 1 Matematika kelas 9 Bab 1 K13 
Lihat Juga  Suhu Lautan. Grafik di bawah menunjukkan suhu air di Samudera Pasifik. Asumsikan suhu dan kedalaman laut berbanding terbalik pada kedalaman yang lebih dari 900 meter.

Similar Posts