Kunci Jawaban MTK Kelas 10 Halaman 97 Uji Kompetensi 3.1
Berikut ini merupakan pembahasan kunci jawaban Buku Matematika untuk Kelas 10 halaman 97 Pembahasan kali ini kita akan bahas latihan yang ada pada buku paket MTK Uji Kompetensi 3.1 Halaman 97-98 Buku siswa untuk Semester 2 (Genap) Kelas X SMP/MTS. Semoga dengan adanya pembahasan kunci jawaban Pilihan Ganda (PG) dan juga Esaay Bab 3 Fungsi ini, kalian bisa menjadi lebih giat untuk belajar. Kunci jawaban ini diperuntukkan untuk para pelajar yang sedang mengerjakan tugas Kurikulum 2013 (K13). Kunci Jawaban Uji Kompetensi 3.1 Hal 97 Matematika Kls 10
| Kunci Jawaban MTK Kelas 10 Halaman 97 Uji Kompetensi 3.1 |
Kunci Jawaban MTK Kelas 10 Halaman 97 Uji Kompetensi 3.1
Uji Kompetensi 3.1
a)
f(x) = 6x – 10
f(50) = (6 x 50) – 10
= 300 – 10
= 290 ton
g(x) = x2 + 12
g(290) = (290)2 + 12
= 84.100 + 12
= 84.112 ton
Jadi, banyak kertas yang dihasilkan adalah 84.112 ton.
b)
f(x) = 6x – 10
110 = 6x – 10
120 = 6x
x = 120/6
x = 20 ton
g(x) = x2 + 12
g(110) = (110)2 + 12
= 12.100 + 12
= 12.112 ton
Jadi, banyak ton kayu yang terpakai adalah x = 20 ton, dan banyak kertas yang dihasilkan adalah 12.112 ton.
2. Diketahui fungsi f(x) = (x − 3) / x , x ≠ 0 dan g(x) = √(x2 − 9) . Tentukan rumus fungsi berikut apabila terdefinisi dan tentukan daerah asal dan daerah hasilnya.
a) f + g
(f + g)(x) = f(x) + g(x)
= (x – 3)/x + √(x² – 9)
= (x – 3)/x + x√(x² – 9)/x
= [(x – 3) + x√(x² – 9)]/x
Daerah asal = {x|x ≠ 0, x ∈ R}
Daerah hasil = {y| y ∈ R}
b) f – g
(f – g)(x) = f(x) – g(x)
= (x – 3)/x – √(x² – 9)
= (x – 3)/x – x√(x² – 9)/x
= [(x – 3) – x√(x² – 9)]/x
Daerah asal = {x|x ≠ 0, x ∈ R}
Daerah hasil = {y| y ∈ R}
c) f x g
(f . g)(x) = f(x) . g(x)
= (x – 3)/x . √(x² – 9)
= [(x – 3)√(x² – 9)]/x
Daerah asal = {x|x ≠ 0, x ∈ R}
Daerah hasil = {y| y ∈ R}
d) f / g
(f / g)(x) = f(x) / g(x)
= [(x – 3)/x] / √(x² – 9)
= (x – 3)/[x√(x² – 9)]
Daerah asal = {x|x ≠ 0, x ∈ R}
Daerah hasil = {y| y ∈ R}
3. Misalkan f fungsi yang memenuhi f(1/x) + 1/x f(–x) = 2x untuk setiap x ≠ 0. Tentukanlah nilai f(2).
*Klik gambar untuk memperbesar*
4. Diketahui fungsi f: R → R dengan f(x) = x2 – 4x + 2 dan fungsi g: R → R dengan g(x) = 3x – 7. Tentukanlah.
a) (gof)(x) = 3(f(x)) – 7
= 3(x² – 4x + 2) – 7
= 3x² – 12x + 6 – 7
= 3x² -12x – 1
b) (fog)(x) = (g(x))² – 4(g(x) + 2
= (3x – 7)² – 4(3x – 7) + 2
= 9x² -42x + 49 -12x + 28 + 2
= 9x² – 54x + 79
c) (gof)(5) = 3(5)² – 12(5) – 1
= 3(25) – 60 – 1
= 75 – 61
= 14
d) (fog)(10) = 9(10)² – 45(10) + 79
= 9(100) – 450 + 79
= 900 – 371
= 529
5. Jika f(xy) = f(x + y) dan f(7) = 7. Tentukanlah nilai f(49).
f(7) = 7 Sehingga,
f(1 x 7) = f(1+7) = f(8)
f(1 x 8) = f(1+8) = f(9)
f(1 x 9) = f(1+9) = f(10)
Jika proses tersebut dilakukan seterusnya maka akan diperoleh: f(7) = f(8) = f(9) = … = f(49) Sehingga, f(49) = f(7)
f(49) = 7
Jadi, nilai f(49) = 7.
6. Diketahui fungsi f dan g dinyatakan dalam pasangan terurut
f = {(1,5), (2,6), (3,–1), (4,8)}
g = {(2,–1), (1,2), (5,3), (6,7)}
Tentukanlah
a) gof
b) fog
a)
(gof)((x) = g(f(x))
g(f(1)) = g(5) = 3
g(f(2)) = g(6) = 7
g(f(3)) = g(-1) = tidak ada
g(f(4)) = g(8) = tidak ada
b)
(fog)(x) = f(g(x))
f(g(1)) = f(2) = 6
f(g(2)) = f(-1) = tidak ada
f(g(5)) = f(3) = -1
f(g(6)) = f(7) = tidak ada
7. Jika f fungsi yang memenuhi persamaan f(1) = 4 dan f(x+1) = 2 f(x). Tentukanlah f(2014).
f(1) = 4 = 22
f(2) = f(1+1) f(2) = 2f(1)
f(2) = 2.4 = 8 = 23
f(3) = 2f(2) = 8.2 = 16 = 24
Dari pola diatas maka akan didapatkan persamaan,
f(n) = 2(n+1)
f(2014) = 2(2014+1)
f(2014) = 22015
8. Jika f(x) = (x+1) / (x-1) dan x2 ≠ 1, buktikanlah bahwa f(–x) = 1/f(x).
f(x) = (x+1)/(x-1)
f(-x) = (-x+1)/(-x-1)
f(-x) = -1(x-1)/-1(x+1)
f(-x) = (x-1)/(x+1)
f(-x) = 1/((x+1)/(x-1))
f(-x) = 1/f(x)
Jadi, terbukti bahwa f(-x) = 1/f(x).
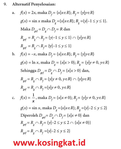
9. Untuk pasangan fungsi yang diberikan tentukanlah daerah asal dan daerah hasil fungsi komposisi gof.
*Klik gambar untuk memperbesar*
10. Diketahui (gof)(x) = 4x2 + 4x dan g(x) = x2 – 1.Tentukanlah nilai f(x – 2).
(g o f)(x) = 4x² + 4x
g(f(x)) = 4x² + 4x
[f(x)]² – 1 = 4x² + 4x
[f(x)]² = 4x² + 4x + 1
[f(x)]² = (2x + 1)(2x + 1)
[f(x)]² = (2x + 1)²
f(x) = 2x + 1
f(x) = 2x + 1
f(x – 2) = 2(x – 2) + 1
f(x – 2) = 2x – 4 + 1
f(x – 2) = 2x – 3
Jadi, nilai f(x – 2) = 2x – 3.

