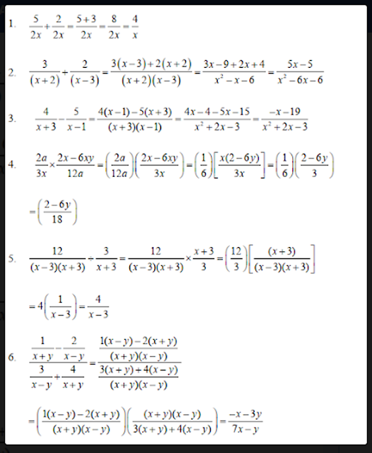
Kunci Jawaban MTK Kelas 7 Halaman 237 Ayo Kita Mencoba
Berikut ini merupakan pembahasan kunci jawaban Buku Matematika untuk Kelas 7 halaman 237 Pembahasan kali ini kita akan bahas latihan yang ada pada buku paket MTK Ayo Kita Mencoba Halaman 237 Buku siswa untuk Semester 1 Kelas VII SMP/MTS. Semoga dengan adanya pembahasan kunci jawaban Pilihan Ganda (PG) dan juga Esaay Bab 2 Himpunan Kelas 7 ini, kalian bisa menjadi lebih giat untuk belajar. Kunci jawaban ini diperuntukkan untuk para pelajar yang sedang mengerjakan tugas Kurikulum 2013 (K13). Kunci Jawaban MTK Kls 7 Hal 237 Ayo Kita Mencoba
![]() |
| Kunci Jawaban MTK Kelas 7 Halaman 237 Ayo Kita Mencoba |

